西高新企业外泌体原料通过美国FDA DMF与INCI双备案
新浪陕西城市频道
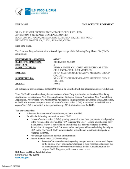
关注继今年1月通过美国FDA DMF备案后,2月25日,西安高新区企业九州再生医学集团研发和生产的九州外泌体原料成功通过国际化妆品原料INCI备案。这不仅是国际权威机构对企业研发实力与产品安全性的高度认可,更标志着九州再生医学集团正式拿到了通往全球市场的“双绿卡”,为2026年发展奠定了坚实基础。
INCI是国际化妆品原料命名的缩写,由美国个人护理产品协会(PCPC)管理和制定的一套为化妆品原料命名的国际通用标准,被全球70多个国家和地区认可。INCI是化妆品原料的“国际通用身份证”,使其在全球范围内,尤其是在美国、中国、欧盟及日本等主流市场中,具备跨地区、跨语言的识别性与合规性。
获得FDA DMF + INCI双备案,标志着九州再生医学集团外泌体原料达到国际质量与安全标准,这不仅是技术实力与合规能力的体现,更意味着可同时服务于药品+化妆品两大国际市场,将为外泌体原料的全球化应用打开新局面,并将进一步推动外泌体在新药研发、医疗健康、功能性护肤等领域的产业化进程。(高新融媒记者 于秋瑾 通讯员 田凡)



